要約
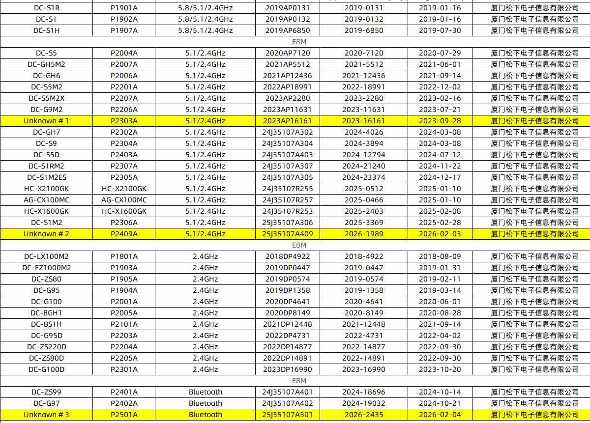
パナソニックが未発表カメラを2機種追加登録。P2409AはデュアルバンドWi-Fi 5対応、P2501AはBluetoothのみでローエンド有力。既登録P2303Aと合わせ未発表は計3機種。発表時期の手掛かりとして認証更新を要チェック。
Panasonic registered two new cameras overseas - Photo Rumors
https://photorumors.com/2026/02/08/panasonic-registered-two-new-cameras-overseas/
Photo Rumorsに、パナソニックが登録している3種の未発表機の話が掲載されています。
- パナソニックは今週、新たに2機種のカメラを登録した。
- P2409A:デュアルバンドWi-Fi 5に対応する。
- P2501A:Bluetoothのみで、おそらくローエンドモデルである。
- すでに登録されている「P2303A」(デュアルバンドWi-Fi 5)を含めると、未発表のパナソニック製カメラは合計3機種となる。
Via E8M_8888
とのこと
パナソニック ミラーレス一眼カメラ GM5 ボディ ブラック DMC-GM5-K
トイカメラ 人気アイテム
「Panasonic」カテゴリの最新記事
2016年発売でも現役:2026年でも「まだ良い」カメラ7選
「S1R III」や「ライカSL4」に1億700万画素センサー搭載か?ソニー次世代センサーの噂
ソニーから2800万画素のマイクロフォーサーズセンサーが登場する!?ソニーの1億8000万画素中判センサーに基づく推測
「BCN AWARD 2026」発表:コンデジはコダック、ミラーレスはソニー、レンズはタムロン、アクションカメラはDJIがトップ
「LUMIX S9」をEマウント化した猛者が登場。
パナソニック「LUMIX G9 II」をライカ風カメラに改造した猛者が登場。
マイクロフォーサーズ復調の兆し。検索トレンドと中古価格が示す「再燃」
CAMEOTA.com 2025年メーカー人気ランキング TOP10
CAMEOTA.com 2025年の人気機種(タグ)ランキング TOP20
2025年のパナソニックに対するPetaPixelの最終評価は「B−」
PetaPixelの2025年ベスト&ワーストカメラ。
2025年のカメラの噂の振り返りと2026年に登場する可能性があるカメラの噂【パナソニック編】
























































